Поэтому сейчас очень актуально обратить внимание на все возможности, которые могут помочь производителям тиссью оптимизировать производственные процессы для повышения рентабельности.
Контроль веса улучшает качество конечного продукта
Контроль веса в производстве тиссью всегда вызывал споры. В то время как некоторые бренды четко указывают минимальный вес на своей упаковке, многие просто избегают этой темы.
В отличие от других отраслей, например, пищевой или косметической, законодательство обычно не требует от производителей тиссью указывать на упаковке информацию о минимальном весе.
Некоторые утверждают, что общая поверхность имеет большее значение, и именно это рекламируют многие компании. Какую бы стратегию ни выбрал производитель тиссью, одно ясно и едино для всех: масса конечного продукта должна быть максимально однородной. Вес основы влияет на большинство других характеристик бумаги, и хороший контроль веса дает преимущества в виде лучшего качества, стабильности процесса, а также снижения затрат.
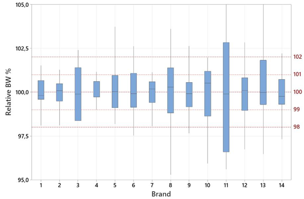
Решая эту проблему, команда AFRY провела оценку производителей тиссью в Иберии. Насколько однороден основной вес продукции, которую можно найти в супермаркетах? Для анализа нам просто нужно было приобрести имеющуюся в продаже тиссью, взвесить ее и измерить общую поверхность. В каждом случае для сравнения были выбраны компактные 2-слойные туалетные рулоны. Чтобы обеспечить достаточную выборку для статистической значимости, для каждого бренда от разных производителей было проанализировано не менее 36 рулонов из разных партий.
Наше исследование было направлено на количественную оценку вариативности, возникающей из-за различий в весе основы на одном слое бумаги. Чтобы ответить на этот вопрос, наша команда должна была развернуть каждый рулон и подсчитать количество листов, чтобы определить общую площадь каждого рулона. Вес основы варьировался от 14,9 г/м2 до 19,6 г/м2, поэтому, чтобы сравнить вариативность, нам пришлось разделить вес каждого рулона на средний вес основы данного бренда. За редким исключением, у большинства производителей длина всех рулонов была одинаковой, что означает, что большая часть вариативности общего веса рулона обусловлена весом основы, а не общей длиной рулона.
Для сопоставимости вес каждого рулона был разделен на среднее значение его производителя. Таким образом, вес рулона, равный 101 % на следующей диаграмме, на 1 % выше веса других рулонов данной марки.

Как минимизировать вариативность и достичь стабильного качества?
Учитывая представленные выше результаты, можно сказать: чтобы свести к минимуму вариативность конечного продукта, компания должна иметь минимальную вариативность веса бумажной основы. Это очевидное утверждение, и большинство компаний знают об этом. Однако, как показано на рисунке, многим компаниям трудно контролировать вес основы даже в пределах одной партии.
Чтобы соответствовать минимальным требованиям по весу, большинство компаний компенсируют это увеличением среднего веса рулонов, таким образом "раздавая" бумагу бесплатно. В рамках данного исследования был зафиксирован случай, когда компания поставляла бумагу со средним весом на 3 % выше спецификации (рулоны в среднем на 3 % превышали целевой показатель). С финансовой точки зрения, например, снижение вариабельности на бумагоделательной машине, производящей 70 000 тонн в год, на 1 % может сэкономить компании около 450 000 евро.
Откуда берется эта изменчивость и как компания может ее минимизировать?
Изменчивость возникает из многих источников. Некоторые из них являются неотъемлемой частью процесса, например поперечная изменчивость. Ее можно свести к минимуму путем тщательной оптимизации настройки напорного ящика, но определенное количество шума всегда останется.
Однако существует множество других источников, таких как продольные колебания, методы измерения, калибровка приборов, управление машиной, процессы преобразования и т. д. Каждый источник шума должен быть оценен, количественно определен, и по нему должны быть приняты соответствующие меры.
Поскольку вариабельность веса конечного продукта имеет множество источников, технологический процесс должен оцениваться на уровне фабрики. Каждый производитель тиссью должен отслеживать изменчивость веса конечной продукции в качестве ключевого показателя эффективности и выделять ресурсы для управления процессами для достижения максимальной стабильности.
Для того чтобы снизить изменчивость граммажа с минимальными затратами и временем, компания AFRY применяет цифровые инструменты в различных проектах для количественной оценки различных источников вариабельности в процессе, принятия мер и быстрого снижения вариабельности. Это может быть изменчивость в поперечном или машинном направлении, лабораторные процедуры, калибровка сканера, действия оператора, обработка на конвертинге, а также любые другие источники изменчивости
Вы можете написать Кириллу, какие темы в области тиссью вам интересны, и мы о них напишем. Связаться с Кириллом можно по адресу 84991599935k@gmail.com и телеграмму.
Также мы ищем редакторов направлений Гофропроизводство, Целлюлоза, Тарный картон, Другие картоны (специальные виды картонов). Если бы вы хотели писать и редактировать статьи на технические темы, свяжитесь с Ириной Летягиной.
Также мы ищем редакторов направлений Гофропроизводство, Целлюлоза, Тарный картон, Другие картоны (специальные виды картонов). Если бы вы хотели писать и редактировать статьи на технические темы, свяжитесь с Ириной Летягиной.