Определение влагопрочности и ее виды
Влагопрочность бумаги — свойство, характеризующее изменение механической прочности бумаги или картона при их увлажнении.
Принято разделять влагопрочность бумаги и картона на постоянную (Вп) и временную (Вв). Под постоянной влагопрочностью понимают сохранение части первоначальной прочности бумаги после ее намокания в воде в течение 24 часов. Под временной то же, но после намокания в воде в течение 10 минут.
Влагопрочность бумаги (В) является относительной величиной, выражается в % и определяется по формуле:
где
– прочность бумаги в сухом состоянии, Н;
– прочность бумаги после намокания в воде, Н.
Временной влагопрочностью в той или иной степени обладают все виды бумаги и картона. Для таких видов бумаги, например, туалетной, салфеточной, которые кратковременно соприкасаются с влажными поверхностями, не требуется постоянная влагопрочность, поскольку после использования они должны легко распадаться на волокна при утилизации в воде.
Постоянная влагопрочность необходима для тех видов бумаги, которые длительное время соприкасаются с водой, но не должны при этом разрушаться.
Виды влагопрочных бумаг
Существует различные виды бумаг и картонов, где применяется влагопрочная смола для придания требуемых свойств. К таким видам относятся:
- Кухонное полотенце
- Промышленное полотенце
- Гигиенические салфетки
- Салфетки для лица
- Ламинированная бумага
- Бумага для плакатов
- Бумага для картографирования
- Чайные пакетики
- Фильтры для кофе
- Обойная бумага
- Бумажные деньги
- Бумага для этикеток
- Упаковка для жидкостей
Механизмы повышения прочности во влажном состоянии
Защита
«Самосшивание» и непрямая ковалентная связь между волокнами образуют нерастворимую в воде сетку, которая защищает существующие водородные связи от набухания в воде.
Укрепление
Прямое ковалентное соединение между целлюлозой и смолой обеспечивает водостойкие связи между волокнами.
На реакцию смолы с волокном и на саму смолу влияют время и температура. В целом, чем горячее становится полотно, тем быстрее протекает реакция.
В большинстве случаев смола продолжает «полимеризоваться» после того, как рулон бумаги вышел из машины, т.е. во время повторной намотки/хранения.
Технологические параметры, влияющие на прочность смолы во влажном состоянии
- Качество воды, используемое при массоподготовке
- Температура массы
- Температура сушки
- Разбавление смолы перед подачей
- Время контакта смолы с исходным материалом
- Заряд системы
- Различные другие добавки, применяемые в потоке
- Прочность в сухом состоянии бумаги
- pH
- Проводимость
- Производительность машины
- Очистка системы
Рассмотрим некоторые из параметров, перечисленных выше.
1. Влияние содержания карбоксила в целлюлозе на удержание влагопрочной смолы
Целлюлоза с большим количеством карбоксильных групп, или гемицеллюлозы, обогащенной карбоксилами, легче всего удерживает катионные смолы и вступает с ними в реакцию). Катионные смолы, обладающие повышенной прочностью во влажном состоянии, легче удерживаются в целлюлозах с высоким содержанием анионов. Целлюлозные массы, такие как лиственная и хвойная целлюлоза, содержат больше карбоксильных групп, чем ХТММ, и, как правило, сохраняют большую прочность во влажном состоянии.
2. Влияние рН на эффективность работы смолы
Влагопрочные смолы значительно лучше работают в щелочных условиях, так как карбоксильные соединения целлюлозы более реакционноспособны, то есть диссоциируют, при более высоком рН. Кроме того, целлюлоза в большей степени разбухает при более высоком рН, что увеличивает количество мест, доступных для реакции.
3. Влияние прочности в сухом состоянии на прочность во влажном
Если прочность в сухом состоянии сильно варьируется, то и абсолютная прочность во влажном состоянии также будет варьироваться. Постоянство прочности в сухом состоянии очень важна для поддержания заданных показателей прочности во влажном состоянии.
Примеры параметров производства бумаги, влияющих на прочность в сухом состоянии
- Размол и подготовка массы (сортирование, разбавление)
- Формование полотна и увеличение удержания волокна на машине
- Добавки для придания прочности в сухом виде
1. Воздействие воды на эффективность работы смолы
- Большое наличие брака в потоке имеет тенденцию к снижению прочности в сухом состоянии, поэтому при более высоком содержании брака может получиться менее прочный лист бумаги.
- Вода с высокой жесткостью снижает удержание смолы, поскольку катионные ионы конкурируют со смолой за карбоксильные центры.
- Использование большого количества пресной воды влияет на эффективность смолы. Оптимальный диапазон рН для смолы составляет 7,5 – 8,5.
2. Влияние других добавок на эффективность работы влагопрочной смолы
- Катионные добавки, такие как крахмал и катионные полимеры, конкурируют со смолой за карбоксильные участки. Эффект можно свести к минимуму, если учитывать точки добавления.
- Некоторые анионные добавки, такие как диспергаторы смолы или красители, вступают в реакцию со смолой, которая используется для повышения прочности во влажном состоянии, и снижают ее эффективность.
- Другие анионные добавки способствуют удержанию смолы. Например, Карбоксиметилцеллюлоза (КМЦ).
- При производстве влагопрочной бумаги необходимо осуществлять контроль за катионной потребностью с тем, чтобы не допустить перезаряд системы и удерживать катионную потребность в напорном ящике на уровне минус 30 – 15 μeq/l.
Каждый раз при внесении изменений в технологию применения вспомогательных химикатов или источника воды при массоподготовке, а также при изменениях условий технологического процесса, важно оценить, как это повлияет на работу влагопрочной смолы.
Технология работы влагопрочной смолы
Три важных этапа:
1. Смолы катионных групп (положительный заряд) притягиваются к естественно-анионным (отрицательный заряд) волокнам целлюлозы - ионное притяжение.

Ионное притяжение между азетидиновой группой на смоле и карбоксильный группой на волокне: катионно заряженная смола (снизу) и анионно заряженное волокно (сверху).
2. Волокна и мелкие частицы достаточно хорошо удерживаются на БДМ и КДМ при отливе на сеточном столе.
3. Затем смолы подвергаются двум типам реакций, обеспечивающих прочность во влажном состоянии:
(а) Самосшивание (реакция смолы с самой собой);
(б) Реакция с карбоксилами целлюлозы (отрицательными группами волокон). Это происходит при нагревании листа (смола «затвердевает»).
Самосшивающаяся полиамидная смола
Азетидиновая группа вступает в реакцию со свободной аминогруппой другой молекулы смолы, образуя сшивку смолы и "полимерную сетку" (для этой реакции требуется тепло).
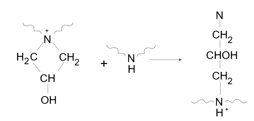
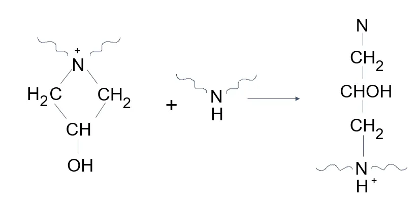
Реакция полиамидной смолы с карбоксильной целлюлозой
Азетидиновые и другие группы на основе эпихлоргидрина вступают в прямую реакцию с карбоксильными группами целлюлозы, ковалентно связывая смолу с материалом (для этой реакции требуется тепло).