Резюме: Проведены исследования влияния количества циклов переработки на бумагообразующие свойства макулатуры. Первичный крафт-картон перерабатывали в полном цикле: роспуск - размол – отлив – прессование – сушка – кондиционирование – испытания – последующий роспуск на своей оборотной воде. Девять полных циклов. Показано, как менялись: степень помола, сухость влажного полотна, кинетика сушки, влажность и прочностные свойства готовых отливок картона после каждого цикла переработки.
Макулатура стала основным видом сырья для производства тарного картона. Известно, что с увеличение циклов переработки макулатуры бумагообразующие свойства волокон ухудшаются, в частности, снижается средняя длина волокна, снижаются прочностные готовой бумаги, картона. Такие исследования неоднократно проводились. Менее известны исследования о том, как с повышением цикла переработки меняются свойства бумажного полотна на стадии мокрого прессования, как изменяется кинетика, время сушки и влажность бумаги, картона.
В лаборатории ИП «Идиатуллин А.М.» проведено моделирование полного цикла переработки макулатуры. Цикл переработки включал: роспуск макулатуры – размол (в 1-ом цикле) – отлив (подсеточную воду собирали) – прессование – сушку – кондиционирование – испытания готовых отливок. Испытывали показатели влагосодержания в полотне на стадии прессования и на стадии сушки. Анализировали кинетику сушки при фиксированной температуре. Анализировали показатель прочности. После испытаний в 1-ом цикле все образцы испытанного картона собирали и проводили 2-й цикл роспуска (без размола) на своей подсеточной воде и т.д. до 9-го цикла включительно.
1. Ход работы.
1.1. Состав сырья, роспуск, размол и отлив
В качестве исходного сырья для 1-го цикла переработки использовали первичный крафт-картон марки КС-140 ОАО «Селенгинский ЦКК» (см. фото 1).
Данный крафт картон распускали на свежей производственной воде одного из предприятий. Вода для первичного роспуска имела следующие характеристики:
- рН = 7,3 (нейтральная);
- электропроводность 31 мкСм/см (низкое солесодержание);
- мутность 1,1 FTU (высокая прозрачность), содержание взвешенных в-в ~ 0 мг/л;
- цветность ~ 40° (умеренное присутствие р-ренных гумусовых веществ).

Фото 2. Диспергирование картона на блендере.
Картон распускали на бытовом блендере в течение 75с на низких скоростях (фото 2), после чего проводили размол на ЦРА в течение 10 мин. Получали массу со степенью помола 28°ШР. Размол на ЦРА проводили только в 1-ом цикле на первичном картоне. В последующих циклах изготовленный и испытаний картон не размалывали на ЦРА, а только распускали на блендере в течение 75 с. Это примерно соответствовало роспуску макулатуры в ГРВ и, вероятно, очень легкому размолу. После размола (или роспуска) массу разбавляли до концентрации 0,4%. Отбирали 600 мл указанной массы и проводили отлив 3 отливок (по 200мл) на настольном вакуумном аппарате (фото 3). Расчетный вес отливок ~150г/м² по а.с. веществам или ~ 162 г/м² по воздушно-сухим в-вам после кондиционирования при отн. влажности воздуха 50%. Подсеточную воду 1-го цикла собирали и использовали для роспуска картона 1-го цикла во 2-ом цикле и т.д. до 9-го цикла включительно. В каждом из последующих циклов к 600 мл оборотной воды предыдущего цикла добавляли ~ 25-30мл свежей воды для обмыва и компенсации потерь воды.

Фото 3. Отлив отливок картона на настольном вакуумном листоотливном аппарате со сбором подсеточной воды.
1.2. Режим прессования.
Предварительно был отработан режим прессования отливок, который с одной стороны, соответствовал уровню влагосодержания влажного прессованного полотна картона в промышленных условиях (~40÷50%), а с другой стороны, обеспечивал бы стабильные значения влагосодержания при прессовании каждой из трех отливок в цикле. В отработанном режиме каждую из 3 изготовленных (в каждом цикле) отливок после отлива прессовали на прессе аппарата «Кобб» в 3 стадии с использованием фильтровальной бумаги и прессовых сукон (фото 4). Меняли фильтровальную бумагу, по ходу прессования влажные отливки взвешивали для контроля влагосодержания. Всего каждую отливку прессовали в 16 единичных циклов прессования. При этом достигалась достаточно стабильный вес и близкое влагосодержание прессованных отливок.

Фото 4. Прессование отливок после отлива с использованием прессовых сукон и фильтровальной бумаги.
1.3. Режим и контроль сушки.
Перед сушкой три прессованные отливки взвешивали (совместно). Отмечали исходный вес. Далее отливки укладывали на плиту, нагретую до 108°С, укрывали сушильным сукном и прижимной перфорированной плитой и включали секундомер (фото 5). Плита поддерживала заданную температуру с высокой точностью (+1°С). Однако, на первой стадии сушки, в течение первых 15 с, датчики плиты показывали снижение т-ры до ~ 104°С, далее температура быстро восстанавливалась до заданного уровня.

Фото 5. Сушка отливок на сушильной плите при заданной температуре (108°С).
Через 15 с после начала сушки отливки снимали (быстро сдвигали перфорированную плиту) взвешивали (совместно), снова укладывали на сушильную плиту (другой стороной), накрывали сукном, перфорированной плитой и снова запускали секундомер. Вся операция снятия - взвешивания и обратного укладывания на сушильную плиту занимала ~ 20с. Еще через 15 с операцию снятия – взвешивания повторяли. Всего по ходу сушки отливки взвешивали 5 раз: исходный влажный вес, через 15с сушки, через 30 с, через 50с и после завершения сушки через 80с. Используя вес влажных и сухих отливок рассчитывали влагосодержание отливок на каждой стадии прессования и сушки.
1.4. Кондиционирование и испытания готовых отливок.
После сушки, перед испытаниями, отливки помещали в камеру активного кондиционирования, где поддерживалась относительная влажность воздуха 50% при активной циркуляции воздуха (фото 6). Время кондиционирования 7,5мин. при этом отливки набирали влажность ~7,5-7,8%, что практически соответствует равновесной влажности картона при относительной влажности воздуха 50%. Кроме создания условий испытаний картона в кондиционных условиях (что требует ГОСТ), кондиционирование (как перепад влажности) дополняет цикл реальной жизни макулатуры.

Фото 6. Кондиционирование отливок в камере активного кондиционирования при относит. влажности воздуха 50%.
После кондиционирования отливки нарезали на полоски шириной 15мм и испытывали на показатель разрушающего усилия и рассчитывали индекс прочности при растяжении.
1.5. Дополнительные испытания после 9-го цикла.
После 9-го цикла изготовления и испытаний отливок на разрушающее усилие отливки испытали еще на 2 показателя:
- высушили до постоянного веса при 130°С и получали значение абсолютно сухого веса волокна в отливках. Это позволило уточнить расчеты содержания влаги в отливках на всех стадиях прессования и сушки;
- отливки (2,0г) после испытаний в 9-ом цикле распускали на своей оборотной воде и определяли степень помола полученной бумажной массы. Получали значения степени помола бумажной массы после 9 циклов переработки в указанных условиях.
Сравнивая с исходной степенью помола волокна перед 1-м циклом, можно говорить о том, как меняется степень помола от 1-го к 9-ому циклу, и оценить средний прирост степени помола волокна от цикла к циклу.
2. Результаты испытаний.
Результаты испытаний бумажной массы и отливок на всех стадиях представлены в таблице 1. В таблице представлены следующие результаты испытаний и показатели:
- Степень помола массы перед 1-ым циклом и после 9-го цикла. В циклах №№ 2-8 указана расчетная степень помола, методом интерполяции;
- Содержание сухих веществ (сухость) отливок от общего веса отливок. В первом столбце (0с) - после прессования и далее в процессе сушки – через 15с, 30с, 50с и после завершения сушки (80с);
- Содержание влаги в полотне по отношению к весу а.с. волокон. В первом столбце (0с) - после прессования и далее в процессе сушки – через 15с, 30с, 50с и после завершения сушки (80с);
- Средний вес отливок после изготовления и кондиционирования, г/м²;- Индекс прочности отливок картона при растяжении. Указаны значения в Н.м/г, а также в относительных %, принимая значение индекса в 1-ом цикле за 100%.
Таблица 1. Результаты испытаний бумажной массы и отливок картона из макулатурной массы в процессе 9 циклов переработки: роспуск картона – отлив – мокрое прессование – сушка – кондиционирование – испытания картона.
|
№ цик-ла |
Ст. по-мола бум. массы, °ШР |
Содержание сухих в-в (%) и содержание влаги на 1 т сухих в-в (кг/т) в процессе сушки отливок картона (через разное время) |
Вес, кон-диц. отли-вок г/м² |
Индекс прочн. при растяж., Н.м/г (Отн. %) |
|||||||||
|
0с |
15с |
30с |
50с |
80с |
|||||||||
|
Сод. сухих |
Сод. влаги |
Сод. сухих |
Сод. влаги |
Сод. сухих |
Сод. влаги |
Сод. сухих |
Сод. влаги |
Сод. сухих |
Сод. влаги |
||||
|
1 |
28 |
39,6% |
1522 кг/т |
54,8% |
825 кг/т |
76,7% |
304 кг/т |
92,4% |
82 кг/т |
97,2 |
29 кг/т |
161,3 |
62,4 (100%) |
|
2 |
30* |
43,5 |
1298 |
60,2 |
662 |
82,6 |
210 |
94,1 |
43 |
97,5 |
27 |
162,0 |
41,4 (66,3%) |
|
3 |
32* |
45,2 |
1218 |
63,2 |
586 |
83,3 |
203 |
95,6 |
41 |
97,7 |
26 |
162,0 |
36,4 (58,3%) |
|
4 |
34* |
45,7 |
1166 |
64,8 |
540 |
85,4 |
171 |
96,0 |
38 |
97,9 |
24 |
162,8 |
33,9 (54,3%) |
|
5 |
36* |
46,2 |
1154 |
65,4 |
529 |
86,3 |
150 |
96,4 |
36 |
98,0 |
21 |
162,1 |
33,6 (53,8%) |
|
6 |
38* |
46,6 |
1130 |
66,0 |
514 |
87,4 |
142 |
96,8 |
35 |
98,2 |
20 |
161,9 |
32,1 (51,4%) |
|
7 |
40* |
47,3 |
1114 |
67,7 |
477 |
89,0 |
123 |
97,2 |
27 |
98,6 |
14 |
160,9 |
31,8 (51,0%) |
|
8 |
42* |
48,1 |
1080 |
69,1 |
436 |
89,2 |
118 |
97,5 |
25 |
98,8 |
11 |
160,8 |
31,2 (50,0%) |
|
9 |
46 |
48,5 |
1063 |
69,7 |
434 |
89,4 |
118 |
97,8 |
23 |
99,0 |
10 |
160,6 |
30,6 (49,0%) |
*Примечание: степень помола в циклах №№2÷8 указана расчетная (не измерялась).
Для наглядности показатели таблицы 1 представлены в виде графиков на рис. 1-6.
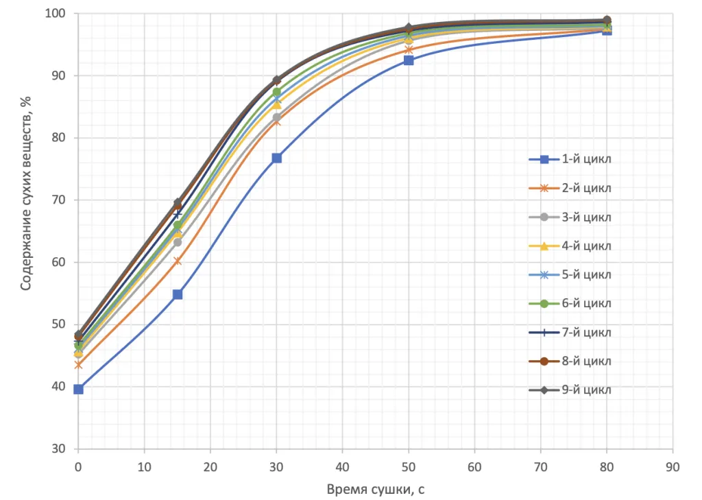
На рис.1 показано влияние времени сушки отливок картона на содержание сухих веществ в картоне в процессе сушки. При этом видно, что содержание сухих веществ после прессования (в начальный момент времени 0с) заметно отличалось. Если в 1-ом цикле содержание сухих в-в после прессования составляло 36,9%, то к 9-му циклу содержание сухих в-в (в тех же условиях прессования) увеличилось до 48,5%.
Из рис. 1 видно, что в процессе сушки содержание сухих веществ сначала росло очень быстро и в течение 30с достигало высокого уровня сухости ~ 83-89% (кроме 1-го цикла). Далее скорость сушки заметно снижалась. Снижалась и разница в содержании сухих веществ. В конце сушки оно приходило к близким значениям 97,2÷99,0%. При этом рост сухих веществ в полотне от цикла к циклу отмечался на всех стадиях от прессования до сушки включительно.

Рис. 1. Влияние времени сушки отливок картона и циклов переработки на содержание сухих веществ в картоне в процессе сушки. Сушка при т-ре 108°С.
Самостоятельный интерес представляет закономерность изменения содержания сухих веществ в полотне после стадии прессования от цикла к циклу. Влияние количества циклов переработки макулатуры на сухость полотна после прессования показано на графике рис. 2.
Рис. 2. Влияние количества циклов переработки макулатуры на сухость влажного полотна отливок картона после мокрого прессования. Идентичные условия прессования.
Из графиков рис.2 видно, что наиболее быстрый рост сухости полотна после прессования отмечался во 2-ом и 3-ем цикле, где сухость полотна повышалась с 39,6% до 45,2%, то есть на 5,6% за 2 цикла. В последующих шести циклах рост сухости полотна после прессования отмечался в общей сложности на 3,2%.
Здесь можно взять на заметку важный момент. Сухость полотна картона после прессования зависит не только от работы прессовой части БДМ, но зависит и от качества макулатуры (количества циклов переработки). При этом чем лучше качество макулатуры (меньше циклов переработки), тем ниже будет сухость полотна после прессования (в одинаковых условиях прессования).
Аналогично содержанию сухих веществ в полотне интересно рассмотреть процесс прессования и сушки с акцентом на содержание и удаление влаги.
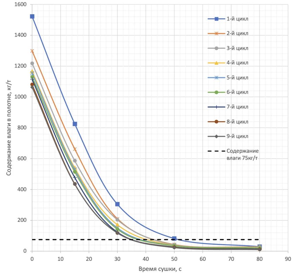
На рис. 3 показано как менялось содержание влаги в полотне после прессования и в процессе сушки от цикла к циклу.

Рис. 3. Кинетика сушки. Влияние времени сушки (при 108°С) и количества циклов переработки на содержание влаги в отливках (по отношению к сухим веществам).
На рис. 4 показано, сколько влаги необходимо было испарить в процессе сушки прессованного полотна до достижения влагосодержания 75кг/т в зависимости от того, сколько циклов переработки прошла макулатура.
Рис 4. Влияние количества циклов переработки макулатуры на количество испаряемой влаги в процессе сушки (при одинаковых условиях прессования).
Как видно из графика рис. 4, для высушивания отливок до влагосодержания 75кг/т в 1-ом цикле удалялось ~1450кг влаги, а к 9-ому циклу в процессе сушки удалялось всего ~990кг влаги. То есть энергозатраты на сушку (на испарение воды) существенно сокращались от цикла к циклу переработки макулатуры.
На рис. 5 процесс сушки отражен в виде времени, которое необходимо было для высушивания полотна до влажности 7,0% при разных циклах переработки макулатуры в проведенном эксперименте (сушка при температуре 108°С).

Рис. 5. Влияние количества циклов переработки макулатуры на продолжительность сушки картона до влагосодержания 7,0%. Сушка картона массой 162г/м² при т-ре 108°С.
Из графика рис. 5 видно, что с увеличением количества циклов переработки макулатуры время сушки отливок до фиксированной влажности 7,0% существенно сокращалось (с ~ 51,5с до 35,4с), а скорость сушки возрастала ~ в 1,45 раза.Наконец, обратимся к графику рис. 6, где показано, как менялся индекс прочности при растяжении отливок картона при переработке от цикла к циклу.

Рис. 6. Влияние количества циклов переработки макулатуры на индекс прочности при растяжении отливок картона (в относительных %).
Индекс прочности картона на рис. 6 для удобства восприятия выражен в относительных процентах, где за 100% принят индекс прочности после первого цикла переработки картона (100%=62,4 Н.г/м). Из графиков рис. 6 видно, что во 2-ом цикла переработки индекс прочности картона при растяжении снизился до уровня 66,4% от прочности картона в 1-ом цикле. Существенное снижение отмечалось и в 3-ем цикле переработки до ~58,3%. Далее, начиная с 4-го до 6-го цикла падение было очень небольшим (с ~54% до ~51%), а после 6-го цикла к 9-му циклу прочность сохранялась практически на одинаковом уровне ~ 51-49% от исходной прочности картона.
Интересно отметить и то, как изменилась степень помола бумажной массы в процессе переработки. Степень помола бумажной массы выросла от 28°ШР перед 1-ым циклом переработки до 46°ШР после переработки в 9-ом цикле. То есть от цикла к циклу степень помола бумажной массы (на своей подсеточной воде) возрастала в среднем на 2°ШР. И это происходило благодаря процессам роспуска, прессования, сушки, кондиционирования, резки и испытания картона (без размола на ЦРА).
Был также проведен опыт по определению степени помола волокна в картоне после 9-го цикла после удаления мелочи — степень помола определили на свежей воде. Степень помола волокна непосредственно в картоне показала 35°ШР. То есть можно говорить о двух значениях степени помола после каждого цикла. Первое — степень помола волокна в бумажной массе (перед отливом) от цикла к циклу росла от 28° до 46°ШР, то есть ~ на 2°ШР. Второе — степень помола волокна непосредственно в картоне (после отлива и удаления мелочи) росла примерно от 26-27°ШР (в 1-ом цикле) до 35°ШР в 9-ом цикле, то есть ~ на 1°ШР в каждом цикле проведенного эксперимента. В этом смысле нужно различать степень помола волокна в бумажной массе (перед отливом) и волокна готового картона (после отлива). Эти значения степени помола могут существенно отличаться.
При анализе процесса изменения прочности картона от цикла к циклу в проведенном эксперименте важно отметить следующее. При первом цикле изготовления бумажную массу (первичный картон) размалывали, и тем самым существенно обновляли поверхность волокон, что способствовало повышению прочностных свойств картона в 1-ом цикле. В последующих циклах, начиная со 2-го цикла, размол не проводили, лишь проводили интенсивный роспуск. В этом смысле 1-й цикл стоит несколько особняком, а со 2-го до 9-го циклы переработки были идентичными во всех отношениях.
Выводы:
2. Из основных результатов можно отметить следующие:
- степень помола волокна у бумажной массы перед 1-м циклом отлива составляла 28°ШР, после 9-го цикла переработки повысилась до 46°ШР;
- сухость влажного полотна после прессования от 1-го цикла к 9-му повышалась с 39,6% до 48,5% при одинаковых условиях прессования;
- количество влаги, которое нужно испарить в процессе сушки в 1-ом цикле составляло 1450кг/т, а в 9-ом цикле – 990кг/т;
- время сушки полотна (при т-ре 108°С) до достижения одинаковой влажности картона на уровне ~ 7,0% в 1-ом цикле составляло 51,5с, а в 9-ом 35,4с;
- индекс прочности при растяжении у картона 1-го цикла переработки составлял 62,4 Н.г/м, а к 6-9-му циклу индекс прочности составлял ~31-32 Н.г/м, то есть снижался ~ в 2 раза.
3. В целом основные изменения в части прессования, кинетики сушки и прочностных свойств картона, происходили от 1-го ко 2-ому циклу, в меньшей степени в 3-ем и 4-ом цикле. Далее изменения были небольшими и после 6-го к 9-му циклу изменения свойств были минимальными.