1.Введение
Процесс производства бумаги в основном включает три стадии: формование, прессование и сушку. Среди этих трёх этапов доля удаления влаги на стадии сушки составляет лишь около 1% от общей влажности волокнистой суспензии, поступающей на сетку бумагоделательной машины. Однако именно сушка является самым энергоёмким этапом всего процесса производства бумаги и потребляет около 70% общей энергии. Поэтому углублённое изучение процесса сушки бумаги имеет большое значение для энергосбережения и снижения удельного энергопотребления в целлюлозно-бумажной промышленности.
Бумага представляет собой пористую среду, а процесс её сушки по своей сути является сопряжённым процессом теплопереноса и массопереноса в пористом материале. Многие исследователи изучали процесс сушки и предложили различные теоретические подходы. Дарси сформулировал закон, применимый при определённых условиях к фильтрации жидкости в пористых средах. С этого времени исследования внутреннего массопереноса в твёрдых материалах стали базироваться на таких теориях, как теория жидкостной диффузии, капиллярная теория, теория испарения и конденсации, теория Луикова, теория Филипа–де–Фриза, теория Кришера–Бергера–Пэя, а также объёмно-осреднённая теория Уитакера. Однако перечисленные модели сушки основаны на гипотезе сплошной среды. Они применимы при макроскопическом описании всего материала, но становятся некорректными при переходе к малым масштабам исследования пористой структуры. В связи с этим появились новые методы и теоретические подходы, такие как поровые сетевые модели, фрактальная геометрия и многомасштабные методы.
Поровая сетевая модель представляет собой полностью дискретный метод, позволяющий напрямую учитывать влияние микроструктуры высушиваемого материала. Новицкий и соавторы исследовали сушку пористой среды с использованием поровой сети в рамках «характеристического объёма». Прат (2002) изучал микромеханизмы переноса при сушке в жёстких пористых средах и получил динамические характеристики процесса сушки.
Многомасштабные методы получили развитие по мере становления теории многомасштабных систем, как самостоятельного научного направления. Их цель — обеспечение многомасштабного прогнозирования и управления процессами.
Фрактальная теория получила развитие благодаря работам Мандельброта, изложенным в монографии «Fractals: Form, Chance and Dimension». В настоящее время применяются различные фрактальные модели: модель Кантора, кривая Коха, ковёр Серпинского, модель нерегулярных фрактальных пор, трёхмерная модель укладки сфер, поровая сетевая модель, губка Менгера и др.
В целом перечисленные подходы можно разделить на «континуальные модели» и «дискретные модели». В последние годы метод решётки Больцмана развивается как новый инструмент моделирования процессов сушки в пористых средах. Метод решётки Больцмана основан на микроскопической модели жидкости и микродинамических уравнениях и представляет собой мезоскопический подход, занимающий промежуточное положение между молекулярной динамикой и макроскопическими моделями сплошной среды. Благодаря преимуществам в описании межфазных взаимодействий и высокой эффективности параллельных вычислений, метод широко применяется для моделирования тепло- и массопереноса в пористых материалах.
Однако на данный момент отсутствуют публикации, посвящённые моделированию процесса сушки бумажного полотна с использованием решетки Больцмана. В связи с этим в данной работе разработана модель сушки бумаги и применён метод решётки Больцмана для численного моделирования закономерностей миграции влаги в процессе сушки, что может служить основой для оптимизации параметров сушильной части бумагоделательной машины.
2. Численный метод
2.1 Физическая модель процесса сушки бумаги
Физическая модель процесса сушки бумаги представлена на рисунке 1. Влажное бумажное полотно расположено в области свободного потока, над его поверхностью проходит поток горячего воздуха. Верхняя, левая и правая поверхности бумажного полотна заданы как границы с конвективным теплообменом, тогда как нижняя поверхность считается адиабатической (теплообмен через неё отсутствует). Вход в область свободного потока задаётся граничным условием по скорости, а выход — граничным условием по давлению. Такая постановка задачи позволяет моделировать процесс тепло- и массопереноса между горячим воздухом и пористой структурой бумажного полотна в условиях конвективной сушки, характерной для сушильной части бумагоделательной машины.
Рисунок 1. Физическая модель процесса сушки бумаги
2.2 Уравнение, описывающее движение жидкости в бумаге
На основе модифицированной расширенной модели Дарси–Бринкмана–Форшгеймера, в сочетании с уравнениями сохранения массы, импульса и энергии, макроскопическое управляющее уравнение для моделирования процесса теплообмена при сушке пористой среды может быть получено следующим образом:
p — давление жидкости,
T — температура микрожидкости,
ε — пористость пористой среды,
α — эффективный коэффициент тепловой диффузии,
ν — эффективный коэффициент вязкости,
σ — отношение теплоёмкости твёрдого каркаса к теплоёмкости жидкости в пористой среде,
F — результирующая сила жидкости в твёрдом каркасе пористой среды.
β — коэффициент теплового расширения,
T₀ — средняя температура.
Fε — геометрический коэффициент пористой среды, где Fε=1.75(150ε3)-0.5
K — проницаемость пористой среды, где K=ε3dp2[150(1-ε)2]-1
Задачу сушки пористой среды, описанную приведённым управляющим уравнением, можно охарактеризовать четырьмя параметрами:
ε — пористость,
число Дарси Da=K/L2,
число Прандтля Pr=ν/αe,
число Релея Ra=gβΔTL3/(ναe).
2.3 Модель Латтес-Больцмана для скорости сушки бумаги
В последние годы метод решётки Больцмана успешно применяется для моделирования течения жидкости в различных пористых средах. Поэтому в данной работе метод Больцмана используется для моделирования скорости диффузии пара в процессе сушки бумаги.
На основе двумерной модели с девятью скоростями (D2Q9) эволюционное уравнение имеет вид:

где fi(x,t) — функция распределения дискретной скорости cᵢ частицы в точке x и в момент времени t,
τ — время релаксации,
δt — шаг по времени,
а
— соответствующая функция равновесного распределения, которая выражается следующим образом:

где ωi — весовой коэффициент, а cs — скорость звука.

Макроскопическая плотность и макроскопическая скорость могут быть вычислены следующим образом:
В качестве граничного условия используется метод неравновесной экстраполяции, предложенный Го Чжаоли и соавт. Он разлагает функцию распределения в граничной ячейке на равновесную и неравновесную составляющие, при этом общая точность метода второго порядка. Поскольку численная устойчивость схем низкого порядка обычно лучше, чем у схем высокого порядка, метод неравновесной экстраполяции также обеспечивает лучшую численную стабильность.
3. Результаты и их анализ
Для описания всего процесса сушки бумаги обычно используется кривая характеристик сушки. Кривая зависимости влажности от времени сушки называется кривой характеристик сушки бумаги. Типичная кривая характеристик сушки бумаги приведена на рисунке 2 и проходит в три стадии:
1.Предварительный нагрев. В начале сушки влажное бумажное полотно проходит стадию предварительного нагрева, при которой тепло используется для повышения температуры бумаги, при этом влажность практически не изменяется.
2. Сушка с постоянной скоростью. В начале процесса сушки скорость испарения влаги с поверхности бумаги меньше или равна скорости переноса влаги из внутренних слоёв к поверхности, и поверхность бумаги остается полностью увлажнённой. Скорость сушки постоянная, а влажность бумаги линейно зависит от времени сушки.
3. Сушка с убывающей скоростью. По мере продолжения процесса сушки поверхность бумаги остается лишь частично увлажнённой, и скорость переноса влаги из внутренней части бумаги к поверхности ниже скорости испарения на поверхности, когда влажность бумаги опускается ниже критической. При этом скорость сушки продолжает уменьшаться, и процесс переходит в стадию сушки с убывающей скоростью.
Рисунок 2. Кривая характеристик сушки бумаги
3.1 Верификация модели

Рисунок 3. Сравнение расчётных данных с экспериментальными
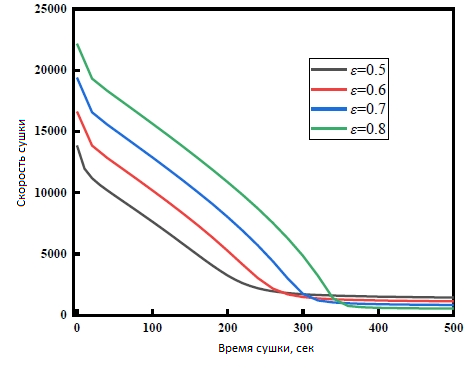
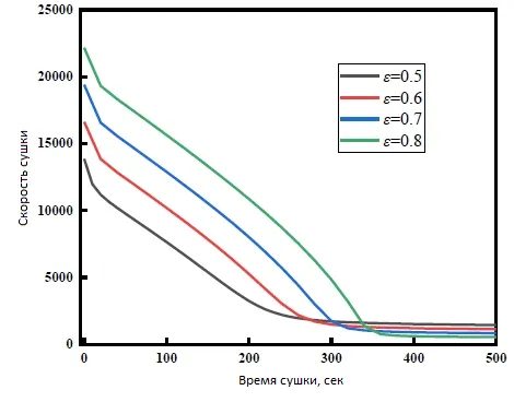
3.2 Влияние пористости бумаги на характеристики сушки
Для изучения характеристик сушки различных типов бумаги исследовалось влияние пористости на кривую характеристик сушки. Из рисунка 4 видно, что пористость мало влияет на характеристики сушки на стадии предварительного нагрева. На стадии сушки с постоянной скоростью время сушки постепенно увеличивается с ростом пористости, а скорость сушки бумаги с большей пористостью всегда была выше, чем у бумаги с меньшей пористостью. Однако на стадии сушки с убывающей скоростью наблюдается обратная зависимость. Это может быть связано с различными формами влаги в бумаге. Влажность можно разделить на свободную воду, капиллярную воду и адсорбированную воду в зависимости от силы связывания воды в бумаге. На стадии сушки с постоянной скоростью в основном удаляется свободная вода, которая слабо связана с твёрдой фазой и находится в порах бумаги в свободном состоянии; чем больше пористость, тем больше свободной воды содержится в бумаге. На стадии сушки с убывающей скоростью основным типом удаляемой влаги является капиллярная вода. Капиллярная вода находится между близко расположенными волокнами и в мелких капиллярах, образованных клеточными полостями, но она встречается реже в бумагах с большей пористостью.

Рисунок 4. Влияние пористости бумаги на характеристики сушки
3.3 Влияние граммажа бумаги на сушку
Влияние граммажа бумаги на кривую характеристик сушки показано на рисунке 5. Граммаж бумаги напрямую отражается на её толщине: чем больше граммаж, тем толще бумага. С увеличением граммажа бумаги, толщина полотна и время сушки постепенно увеличиваются. Чем толще бумага, тем больше сопротивление испарению внутренней влаги и тем больше энергии требуется для её испарения. При этом уменьшается скорость нагрева бумаги, что приводит к снижению скорости испарения влаги и увеличению времени сушки.

Рисунок 5. Влияние граммажа бумаги на сушку
3.4 Влияние температуры сушки на характеристики сушки
На рисунке 6 видно, что с увеличением температуры, время сушки постепенно уменьшается. Процесс сушки по сути является испарением воды из бумаги. Повышение температуры сушки увеличивает температурный градиент между воздухом и бумагой, что усиливает испарительную способность и ускоряет испарение воды, сокращая время.
-при повышении температуры до 90 °C время сушки сокращается на 25,4 %;
-при повышении до 100 °C — на 20,5 %;
-при повышении до 110 °C — на 18,7 %.
При дальнейшем увеличении температуры сокращение времени сушки ограничено. Слишком высокая температура может увеличить энергозатраты, поэтому для реального производства следует выбирать оптимальный температурный режим.

Рисунок 6. Влияние температуры на характеристики сушки
3.5 Влияние скорости горячего воздуха на характеристики сушки

Рисунок 7. Влияние скорости горячего воздуха на характеристики сушки
4. Заключение
В данной работе метод решётки Больцмана был использован для анализа переноса влаги в процессе сушки бумаги. Исследовалось влияние пористости, граммажа бумаги, температуры сушки и скорости горячего воздуха на кривую характеристик сушки бумаги. Конкретные выводы приведены ниже:
- С увеличением пористости время сушки постепенно увеличивается. На стадии сушки с постоянной скоростью в основном удалялась свободная вода, и скорость сушки бумаги с высокой пористостью возрастала, тогда как на стадии сушки с убывающей скоростью в основном удалялась капиллярная вода.
- Существует положительная зависимость между грамммажом бумаги и её толщиной. Чем больше граммаж, тем больше толщина, выше сопротивление испарению и дольше время сушки.
- Время сушки сокращается с повышением температуры. Однако эффект сокращения времени ограничен, поэтому следует выбирать оптимальный температурный режим.
- Время сушки уменьшается с увеличением скорости горячего воздуха. При скорости воздуха выше 0,3 м/с влияние на время сушки снижается, и повышение скорости воздуха уже не приводит к значительному увеличению эффективности сушки.